本期着重对食品生产洁净室(区)要求及检测方法进行详细阐述。
国家药品监督管理局于2011年04月02日发布《食品工业洁净用房建筑技术规范》GB 50687-2011,并于2012年05月日实施。该标准规定了食品工业类生产与质量管理的基本要求。
1、要求:
1.1生产厂房:生产厂房按生产工艺和产品质量要求分为一般生产区和洁净生产区。厂房应符合食品卫生生产要求,不得发生污染、交叉污染和混料。厂区的生产环境应整洁,路面及运输不应对食品的生产造成污染。
1.2一般生产区:一般生产区一般生产区应包括仓储用房、非洁净生产用房、外包装用房等。应设计合理、采光、通风良好,能够满足生产工艺需要。
1.3洁净区
1.3.1 除满足上述要求外,还应配置与洁净度级别相适应的空气调节净化系统。附录A给出了食品洁净室(区)空气洁净度级别,附录A给出了食品产品生产环境洁净度级别的设置指南。
1.3.2 在设计、建设和装修洁净厂房时,应考虑食品工业洁净用房的建筑设计除应满足生产工艺需求外, 应便于安装空调净化设备、风管和风口及满足不产尘、不积尘、耐腐蚀、防潮、防霉、易清洁的要求,并应符合防火、环保规定。
1.3.3 生产车间内的地面和墙面应使用非吸收性、不透水、易清洗消毒、不藏污纳垢的浅色材料铺设,表面应平坦光滑。管道、灯具、风口应采用易擦洗、消毒的产品,不应出现不易清洁的部位,且应设置1 %?2%的排水坡度,在有腐蚀性介质排出的设备所在的地面应局部设立防止介质蔓延的设施,墙面及柱面与地面的交接应用圆弧过渡,所有阴角宜为墙角拐弯处和推车通道的相应高度墙面应有防撞设施。
1.3.4 人员净化室、洁净室(区)的外窗应采用双层密闭外窗。木质材料木质材料不得外露使用。所有门不应采用木质材料外露。
1.3.5 洁净室(区)新建建筑物的混凝土或抹灰层在涂饰涂料前应涂刷抗碱封闭底漆,若是旧墙面,还应事先清除疏松的旧装饰层。金属板材基底应先涂饰金属底漆,混凝土或抹灰基层的含水率不应大于10%,相对湿度经常超过80%或有蒸汽作业的房间或关键区域的内表面当涂饰抗菌防霉涂料,且应符合相关规定,并根据使用情况定期重涂。
1.3.6 洁净室(区)外应设置防虫害、鼠害措施,洁净区大门入口应有防虫设施,宜安装专用防飞虫吹淋车间下水道的出口处及地漏处应安装防虫、鼠的栅、网。车间进出物料处应采用平台,平台与路面间的墙面应用光滑材料铺设。
1.3.7 洁净用房内不宜布置高温、高湿和产生臭味、气体(包括 蒸汽及有毒气体)或粉尘(如磨粉工段)的工序。否则应布置于封 闭或半封闭设备内,并应设置局部排风;当不能封闭或半封闭时, 净化空调系统不应使用循环风,并应设置排除有害物的排风装置,风口和风管应方便清洗,易堵和清洗频繁的管段可采用纤维织物风管。物料收集用的排风管道宜采用304或316不锈钢。
1.3.8 室内气流应保持从清洁区域流向污染区域的定向流,局部Ⅰ级洁净用房送风口面积应比下方控制区面积每边至少各大20cm以上。回风口宜均匀分布在下部两侧,当只能一侧布置时,生产线应布置在送风口正下方。
1.3.9 新风量应按每人不小于40m3/h设计,并应满足排风和维持正压的需要。
1.3.10 洁净室(区)内的水、电等输送线路宜暗敷。电气管线管口,安装于墙上的各种电器设备与墙体接缝处均应密封。
1.3.11 洁净室(区)应选用外部造型简单、不易积尘,便于擦拭的照明灯其,照明灯具宜明装不宜悬吊,采用吸顶安装时,灯具与顶棚接缝处应采用可靠密封措施。潮湿和有水雾的车间应采用防潮灯具,防爆车间应采用防爆灯具。紫外消毒灯应设置在洁净室之外。
1.3.12 洁净厂房周围宜设置洒水设施。
1.3.13 洁净室(区)内的透气排污设备应独立设置,排水设备以及与重力回水管道相连接的设 备应在其排出口以下部位设高度大于50mm的水封装置,且Ⅰ、Ⅱ级不宜设置地漏和排水沟,不宜有排水立管经过,Ⅲ级和Ⅳ级如有排水立管穿过时,不应设检查口。
1.3.14洁净用房内的墙面、设备、器具及洗手消毒宜采用对人体和食品无害的绿色环保消毒液。当进入洁净用房前设置鞋消毒池时,池内宜放置环保消毒液。当消毒液使用酸性氧化电位水或氧化电位水的副产品碱性水时,应符合下列规定:
①应在冲洗干净后用酸性氧化电位水消毒。
②酸性氧化电位水的pH应为2.0?2.7, ORP不应小于1100mv,有效氯的含量应为60 mg/L±10mg/L。
③制备酸性氧化电位水的硬度应小于50mg/L,应随制随用,并应在流动中冲洗或浸泡。pH值、ORP及有效氯的含量应在线监测,自动控制在有效范围内。
④间歇使用酸性氧化电位水消毒时,使用前应放空滞留在管道中的酸性氧化电位水。密闭、透光储罐中的酸性氧化电位水 不得超过3d。
⑤应有相应的制备、储存和输送酸性氧化电位水的在线监测和实时显示措施。
⑥当将氧化电位水的副产品碱性水用于洁净用房内的设备、器具及工作人员手的一般清洗时,管道应定期用酸性氧化电位水清洗。
1.4 人员净化
1.4.1 人员净化室应包括换鞋室、存外农室、盥洗室、穿洁净工作服室、气闸室或空气吹淋室等。
1.4.2 进入食品生产洁净室(区)的人员应进行净化。附录 D给出了进出洁净室(区)的一般程序。
1.4.3 手消毒器和手消毒擦拭巾宜在生产人员通道上设置。
1.5 物料净化
1.5.1 物料净化程序应包括外包清洁、拆包、传递或传输。
1.5.2 进出洁净用房的物流与人流应使用不同的通道和出入口, 并应单向输送,不得交叉;宜有废弃物的专用通道和出口。
1.5.3 不同等级间宜采用传递窗传递,进入洁净区的各种物料、原辅料、设备、工具和包装材 料等,均应在紧邻洁净区的拆包间内清理、吹净、拆包,拆包后 的物料通过传递窗进入洁净区。
1.5.4 不能拆除外包装的应在拆包间对其表面进行清洁和消毒。
1.5.5 当采用传送带连续传送物料、物件时,除具有连续消毒 条件外,传送带不应穿越非洁净区,并应在洁净区与非洁净区之 间设置缓冲设施,在两区之间分段传送。
1.5.6 当用电梯传送物料、物件时,电梯宜设在非洁净区,输 送人员、物料的电梯应分开设置。当将电梯设在洁净区时,电梯前应设缓冲室。
1.5.7 当生产流水作业需要在洁净用房墙上开洞时,宜在洞口 保持从洁净用房等级高的一侧经孔洞压向洁净用房低的一侧或按工艺要求的定向气流,洞口气流平均风速不应小0.2m/s。停止生产时洞口宜有封闭的措施。
1.6 工艺布局
1.6.1 工艺平面应与工艺要求的洁净用房等级相适应,并应防止食品、食品接触面和食品包装受到污染。原料、半成品、成品、生食和熟食应在各自独立的有完整分隔的生产区内加工 制作。工艺设备布置应符合生产流程要求,同类型设备宜集中布置。
1.6.2 工艺布置宜使原料、半成品的运输距离缩至最短,不宜往返交叉。
1.6.3 操作台之间、设备之间以及设备与建筑围护结构之间应有安全维修和清洁的距离。
1.6.4 生产和操作过程中产生粉尘和气体污染的工艺设备宜布 置在洁净用房外,若布置在室内时,宜靠墙且靠近回、排风口或 设局部排风装置的位置布置。
1.7 工艺设备与工艺管道
1.7.1 工艺设备的设计、选型、安装应便于清洗、消毒或灭菌。
1.7.2 工艺设备及其安装使用的机械设备在进入洁净用房安装现 场前应进行清洁。
1.7.3 生产过程中有腐蚀性介质排出的工艺设备宜集中布置。
1.7.4 工艺管道的设计和安装应避免死角、盲管,在满足工艺要求的前提下宜短捷。
1.7.5 穿过围护结构进入洁净用房的工艺管道应设套管,套管内管材不应有焊缝与接头,管材与套管间应用不燃材料填充并密封
1.7.6 用于灌注食品的压缩空气或清洁食品接触面的压缩空气应经过过滤处理,并至少达到与环境相同的洁净度。
1.7.7 工艺管道主管系统宜设置必要的检测孔、取样孔和清洁孔。
1.7.8 不便移动的设备应设置在位清洗、消毒或灭菌设施。
1.7.9 (Ⅰ?Ⅲ)级洁净区的设备、容器、工器具及洁净工作服宜在本区域外设置专区清洗,IV级洁净区的清洗室可设置在本区域内,清洗室的洁净用房等级不应低于IV级。存放洗涤干燥或灭菌后的设备、容器及工器具的洁净用房应与其使用环境具有相同的等级。
1.8 自动控制
1.8.1 洁净用房宜对供热、供冷、纯水、通风空调和气体供应等系统进行自动监控。
1.8.2 净化空调系统新风口、排风口应有自动关闭措施。
1.8.3 洁净用房的空调系统应有风机启停顺序和温湿度的自动控制系统。
1.8.4 在满足生产工艺要求的前提下,宜对风机、水泵等动力设备采取变频调速等节能控制措施。
1.8.5 食品工厂内的洁净生产区入口应有门禁自动控制措施。
附录A.食品洁净室(区)空气洁净度级别表
洁净度级别 | 尘埃最大允许数,个/m3 | |
≥0.5μm | ≥5μm | |
Ⅰ级 | 3 520 | 29 |
Ⅱ级 | 352 00 | 2 930 |
Ⅲ级 | 3 520 00 | 29 300 |
Ⅳ级 | 3 520 000 | 293 000 |
洁净用房等级 | 空气浮游菌 cfu/m3 | 空气沉降菌 (φ90mm) | 表面微生物(动态) | ||||
接触皿(φ55mm) cfu/皿 | 5指手套 cfu/手套 | ||||||
静态 | 动态 | 静态 cfu/30min | 动态 cfu/4h | 与食品接触表面 | 建筑表面 | ||
Ⅰ级 | 5 | 10 | 0.2 | 3.2 | 2 | 不得有霉菌斑 | <2 |
Ⅱ级 | 50 | 100 | 1.5 | 24 | 10 | 5 | |
Ⅲ级 | 150 | 300 | 4 | 64 | 不作规定 | 不作规定 | |
Ⅳ级 | 500 | 不作规定 | 不作规定 | 不作规定 | 不作规定 | 不作规定 | |
附录B.食品产品生产环境洁净度级别设置指南
B1非最终灭菌食品洁净用房等级:
Ⅱ级背景下的Ⅰ级:①易腐或即食生食切割②食品的冷却③食品灌装(或者灌封)、分装轧盖④罐装前液体或食品的加工配置微生物指标检验⑤微生物指标检验
Ⅱ级:直接接触食品的包装材料的存放以及处于未完全密闭状 态下的转运
Ⅲ级:直接接触食品的包装材料、器具的最终清洗、装配或包 装、灭广
Ⅳ级:食品原料的预处理
注:具有高污染风险, 才适用Ⅱ级背景下的Ⅰ级(含设备自身具备的)的条件,如冷却阶段中的月 饼、酸奶的冷却,检验阶段中的一般理化检测则不适用此种条件
B2最终灭菌食品洁净用房等级:
Ⅲ级:①最终灭菌食品洁净用房等级②高污染风险食品的配制、加工③直接接触食品的包装材料和器具最终清洗后的处理
Ⅳ级:①轧盖或封口②灌装前物料的准备③液体地浓配或采用密闭系统的稀配④直接接触食品的包装材料和器具最终清洗后的处理
注:此处的高污染风险是指进行风险评估时确认产品容易长菌、配制后需等待较 长时间方可灭菌或不在密闭容器中配制等情况
附录C.食品洁净室(区)环境要求及监测
监测项目 | 技术指标 | 监测方法 | ||||
Ⅰ级 | Ⅱ级 | Ⅲ级 | Ⅳ级 | |||
温度,℃ | 20~25 | 18~26 |
GB 50591-2010 | |||
相对湿度,% | 30~65 | 30~70 | ||||
风速,m/s | 地面上0.8m,实心工作台上0.25m ≥0.2 | —— | —— | —— | ||
噪声,dB(A) | ≤65 | ≤60 | ||||
换气次数,次/h | —— | ≥20 | ≥15 | ≥10 | ||
静压差,Pa | 不同级别洁净室(区)及洁净室(区)与非洁净室(区)之间≥5 | |||||
洁净室(区)与室外大气≥10 | ||||||
尘埃数 个/m3 | ≥0.5μm | ≤3 520 | ≤35 200 | ≤352 000 | ≤3 520 000 | |
≥5μm | 29 | ≤2 930 | ≤29 300 | ≤293 000 | ||
浮游菌数,cfu/m3 | ≤5 | ≤50 | ≤150 | ≤500 | ||
沉降菌数(φ90mm),cfu/30min | ≤0.2 | ≤1.5 | ≤4 | —— | ||
说明:食品洁净室(区)在静态条件下检测的尘埃数、浮游菌或者沉降菌数、换气次数(100级层流风速)、静压差、温度、相对湿度必须符合规定。
附录D.进出洁净室(区)的一般程序
2、检测方法
2.1温湿度的检测
2.1.1 无恒温恒湿要求的温湿度检测应符合下列要求;
1 室内空气温度和相对湿度测定之前,空调净化系统应已连续运行至少 8h。
2 温度的检测可采用玻璃温度计、数字式温湿度计;湿度的检测可采用通风式干湿球温度计、数字式温湿度计、电容式湿度检测仪或露点传感器等。根据温湿度的波动范围,应选择足够精度的测试仪表。温度检测仪表的最小亥刻度不宜高于 0.4℃,湿度检测仪表的最小刻度不宜高于2%。
测点为房间中间一点,应在温湿度读数稳定后记录。测完室内温湿度后,还应同时测出室外温湿度。
2.1.2 有恒温恒湿要求房间的温湿度检测应符合下列要求;
1 选择以下检测仪器;
1)温度计∶采用铂电阻、热电偶或其他类似温度传感器组成测温系统;
2)湿度计∶可采用干湿球温度计或其他固态湿度传感器组成测湿系统。
2 检测方法与步骤如下∶
1)室内空气温度和相对湿度测定之前,空调系统应已连续运行至少12h;
2)根据温度和相对湿度波动范围(表1),应选择相应的具有足够精度的仪表进行测定。根据由低到高的精度,测定宜连续进行 (8~48)h,每次测定间隔不应大于30min;
3)室内测点可在送回风口处或在恒温恒湿工作区具有代
表性的地点布置。测点一般应布置在距外墙表面大于 0.5m、距地 0.8m 的同一一高度上; 也可以根据恒温恒湿区的大小,分别布置在离地不同高度的几个平面上。具体测点数应符合表1 的规定。
表1 有恒温恒湿要求时的温、湿度测点数
波动范围 | 室面积≤50m2 | 每增加20~50m2 |
温度波动 Δt=±0.5℃~±2℃ | 5 | 增加 3~5个 |
相对湿度波动 ΔRH=±5%~±10% | ||
温度波动 Δt≤|0.5|℃ | 点间距不应大于 2m,点数不应少于5个 | |
相对湿度波动 △RH≤|5|% | ||
2.2风速的检测
2.2.1 风量风速检测必须首先进行,净化空调各项效果必须是在设计的风量风速条件下获得。
2.2.2 风量检测前必须检查风机运行是否正常,系统中各部件安装是否正确,有无障碍,所有阀门应固定在一定的开启位置上,且必须实际测量被测风口、风管尺寸。
2.2.3 测定室内微风速仪器的最小刻度或读数不 应大于 0.02m/s,一一般可用热球式风速仪,需要测出分速度时,应采用超声波三维风速计。
2.2.4 对于单向流洁净室,可采用室截面平均风速和截面积乘积的方法确定送风量,垂直单向流洁净室的测定截面取距地面 0.8m 的无间隔面 (孔板、格栅除外) 的水平截面,如有阻隔面,该测定截面应抬高至阻隔面之上 0.25m;水平单向流洁净室取距送风面 0.5m 的垂直于地面的截面,截面上,测点间距不应大于1m,一般取0.3m。测点数应不少于 20个,均匀布置。
2.2.5 对于非单向流洁净室,内安装过滤器的风口可采用套管法、风量罩法或风管法测定风量,为测定回风口或新风口风量,也可用风口法。
2.3换气次数的检测

2.4静压差的检测
2.4.1 静压差的测定应在所有房间的门关闭时进行,有排风时,应在最大排风量条件下进行,并宜从平面上最里面的房间依次向外测定相邻相通房间的压差, 直至测出洁净区与非洁净区、室外环境(或向室外开口的房间)之间的压差。
2.4.2 对于洁净度 5 级或优于5级的单向流动洁净室,还应测定在门开启状态下,离门口 0.6m 处的室内侧工作面高度的粒子数。
2.4.3 有不可关闭的开口与邻室相通的洁净室,还应测定开口处的流速和流向。
2.5微生物的检测
2.5.1 沉降菌的检测
2.5.1.1使用直径?90mm 的培养皿采样。当采用其他直径培养皿时,应使其总面积和?90mm皿总面积相当。
2.5.1.2培养皿中灌注胰蛋白酶大豆琼脂培养基,必须留样作阴性对照。
2.5.1.3培养皿表面应经适当消毒清洁处理后,布置在有代表性的地点和气流扰动极小的地点。在乱流洁净室内培养皿不应布置在送风口正下方。
2.5.1.4当用户没有特定要求时,培养皿应布置在地面及其以上 0. 8m之内的任意高度。
2.5.1.5每一间洁净室或每一个控制区应设1个阴性对照皿。
2.5.1.6动态监测时也可协商布点位置和高度。
2.5.1.7培养皿数应不少于微粒计数浓度的测点数,如工艺无特殊要求应大于等于表中的最少培养皿数,另外各加1个对照皿。
洁净度级别 | 所需培养皿数(以沉降0.5h计) |
高于5级 | 44 |
5级 | 13 |
6级 | 4 |
7级 | 3 |
8级 | 2 |
2.5.1.8当延长沉降时间时,可按比例减少最少培养皿数,为防止脱水,最长沉降时间不宜超过lh,当所需沉降时间超过lh, 可重叠多皿连续采样。除非经过验证,证明更长的沉降时间可以基本按比例增加菌落数。
2.5.1.9培养皿应从内向外布置,从外向内收皿。
2.5.1.10每布置完1个皿,皿盖只允许斜放在皿边上,对照皿盖挪开即盖上。
2.5.1.11布皿前和收皿后,均应用双层包装保护培养皿,以防污染。
2.5.1.12收皿后皿应倒置摆放,并应及时放入培养箱培养,在培养箱外时间不宜超过2h。如无专业标准规定,对于检测细菌总数,培养温度采用(35?37)℃,培养时间为(24?48) h;对于检测真菌,培养温度(27?29)℃,培养时间3d。
2.5.1.13布皿和收皿的检测人员必须穿无菌服,但不得穿大褂。 头、手均不得裸露,裤管应塞在袜套内,并不得穿拖鞋。
2.5.1.14对培养后的皿上菌落计数时,应采用5?10倍放大镜查看,若有2个或更多的菌落重叠,可分辨时则以2个或多个菌落计数。
2.5.1.15当单皿菌落数太大受到质疑时,可按以下原则之一进行处理:
1)作为坏点剔除;
2) 重测,如结果仍大,以两次平均值为准;如结果很小, 可再重测;
3) 重测该处微粒浓度,参考此结果作出判断。
所有上述处理方法均应记录在案。
2.5.1.16毎皿平均菌落数取到小数点后1位。
2.5.1.17动态监测时每点叠放多个平皿或采用可自动切换的仪器,每点应釆满4h以上,每皿可采30mino当只放1个皿时, 可少于4h,但不可少于1h。
2.5.2 浮游菌的检测
2.5.2.1 使用单级或多级撞击式采样器、离心采样器或过滤采样器,采样必须按所用仪器说明书的步骤进行,特别要注意检测之前对仪器消毒灭菌,并对培养皿或培养基条做阴性对照。
2.5.2.2 采用点数参照下表:
面积(m2) | 洁净度 | |||
Ⅰ级 | Ⅱ级 | Ⅲ级 | Ⅳ级 | |
<10 | 2~3 | 2 | 2 | 2 |
10 | 4 | 3 | 2 | 2 |
20 | 8 | 6 | 2 | 2 |
40 | 16 | 13 | 4 | 2 |
100 | 40 | 32 | 10 | 3 |
200 | 80 | 63 | 20 | 6 |
400 | 160 | 126 | 40 | 13 |
1000 | 400 | 316 | 100 | 32 |
2000 | 800 | 623 | 200 | 63 |
2.5.2.3 采样点应在离地0.8m髙平面上均匀布置,或经委托方(用户)与检测方协商确定。乱流洁净室内不得在送风口正下方布点。静态或空态检测前对室内各种表面应作擦拭消毒。
2.5.2.4 每点采样1次,如工艺无特殊要求,每次采样量应大于等于下表推荐的浮游菌最小采样量。每次采样时间不宜超过15min,不应超过30min。当洁净度很高,或预期含菌浓度可能很低时,采样量应大于最小采样量很多,以满足减少计数误差的要求。
洁净度级别 | 最小采样量(L) |
5级和高于5级 | 1000 |
6级 | 300 |
7级 | 200 |
8级 | 100 |
9级 | 100 |
2.5.2.5采样器应用支架固定,采样时检测人员应退出,手持离心式采样器除外。
2.5.2.6 采样后宜在2h之内将采样器中的培养皿或培养基条送入培养箱中培养。
2.5.2.7 每点平均值取到小数点后1位。
2.5.2.8 动态监测的测点位置、数量和高度由工艺并经协商确定。每间洁净室或每一个独立受控环境中各点总采样量,不分级别, 均应大于1m3。每点可用多台采样器。
2.5.2.9 单点菌落数太大时,按照2.5.1.15要求。
2.5.3悬浮粒子的检测
2.5.3.1 室内检测人员应控制在最低数量,不宜超过2人,面积超过100㎡又需快速完成测定任务时可适当增加人数。人员必须穿洁净服,应位于测点下风向并原理测点,动作要轻,保持静止。
2.5.3.2 0.5μm及5μm微粒的检测应符合以下要求:
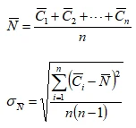
1)采用尘埃粒子计数器测定0.5μm及5μm微粒应根据以下步骤计算空气洁净度级别
室内平均含尘浓度
和各测点平均含尘浓度的标准误差

表2:洁净度评级标准
采样点数 | 合格标准 | 结论 |
1 |
| 达到该级别 |
2~9 |
| 达到该级别 |
≥10 |
| 达到该级别 |
注:n 测点数
——每个采样点上连续3次或3次以上稳定读数的平均值;
——各店平均值中的最大值;
t——置信上限为95%时,2~9点采样时单侧t分布的系数,其值见下表。
表3:系数t
点数 | 2 | 3 | 4 | 5 | 6 | 7 | 8 | 9 |
t | 6.31 | 2.92 | 2.35 | 2.13 | 2.02 | 1.94 | 1.90 | 1.86 |
2.4.3测点数按下表选用
面积(m2) | 洁净度 | |||
Ⅰ级 | Ⅱ级 | Ⅲ级 | Ⅳ级 | |
<10 | 2~3 | 2 | 2 | 2 |
10 | 4 | 3 | 2 | 2 |
20 | 8 | 6 | 2 | 2 |
40 | 16 | 13 | 4 | 2 |
100 | 40 | 32 | 10 | 3 |
200 | 80 | 63 | 20 | 6 |
400 | 160 | 126 | 40 | 13 |
1000 | 400 | 316 | 100 | 32 |
2000 | 800 | 623 | 200 | 63 |
采样点应均匀分布于洁净室或洁净区的整个面积内,并位于工作区高度(取距地面0.8m,或根据工艺商定),当工作区分布于不同高度时,可以有1个以上测定面。
2.5.3.4 乱流洁净室(区)内采样点不得布置在送风口正下方。
2.5.3.5 每一测点上每次的采样必须满足最小采样量,100000级及300000级最小采样量应不小于2L。
2.5.3.6每次采样点数应满足可连续记录下3次稳定的相近数值,3次平均值代表该点数值。
测单向流动时,采样头应对准气流;测非单向流动时,采样头一律向上。